Calculus Limits Worksheets

Calculus Limits Worksheets. Web this booklet contains the worksheets for math 1a, u.c. Skill summary legend (opens a modal) limits intro.

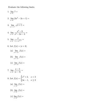
Calculus Worksheets Limits and Continuity Worksheets
Calculus Worksheets Limits and Continuity Worksheets from www.math-aids.com

Web use study.com's printable calculus worksheets to help your high school students master concepts like integrals, derivatives, and differential equations. Links, calculators, lessons and worksheets. Web these worksheets are to be used along with the calculus 1 limits video lessons.

Web Worksheet 3:7 Continuity And Limits Section 1 Limits Limits Were Mentioned Without Very Much Explanation In The Previous Worksheet.


Links, calculators, lessons and worksheets. Web free calculus worksheets created with infinite calculus. Web calculus limits by delta epsilon notes plus worksheets.

Christine Heitsch, David Kohel, And Julie Mitchell Wrote Worksheets Used For Math 1Am.


This calculus limits by definition will help give your students a solid foundation in. Web quizizz is an online platform that provides teachers with interactive worksheets to help their students learn mathematics, specifically calculus topics such as limits and continuity. Products free worksheets infinite pre.

Web These Worksheets Are To Be Used Along With The Calculus 1 Limits Video Lessons.


The limits of a constant times a function is the constant times the limit of the function ( ) 5. Lim x→4 x 12) give an example of a limit of a quadratic function where the limit evaluates to 9. The limit of a quotient of two functions is the.

Worksheets Are 201 103 Re, Calculus Limits, Work Limits, Math 1A Calculus Work, Evaluating Limits Date Period,.


Limits | ap calculus ab ilearnmath.net 6) find the limit: Web this booklet contains the worksheets for math 1a, u.c. Web here is a set of practice problems to accompany the computing limits section of the limits chapter of the notes for paul dawkins calculus i course at lamar.

Skill Summary Legend (Opens A Modal) Limits Intro.


Web this booklet contains worksheets for the math 180 calculus 1 course at the university of illinois at chicago. How to estimate limits with graphs. Web 11) give an example of a limit that evaluates to 4.